产品分类
Product Classification推荐资讯
Latest Information- 湿法激光粒度仪和干法激光粒度仪的区别 04-11
- 干法激光粒度仪的结构和原理 04-11
- Zeta电位及Zeta电位分析仪 04-10
- 激光粒度仪在锂电池正极材料粒度检测中的应用 04-10
- 提升锂电池能量密度的方法研究 04-10
- 激光粒度分析仪用于脂肪乳注射液粒度的研究 04-10
- 水泥密度测试方法研究 04-10
联系我们
Contact Us电话 : 15021562539
QQ : 619163093
邮箱 : sales@dwshanghai.com
网址 : //www.crmbz.com
地址 : 上海嘉定区华江路348号B座226室
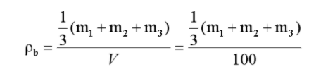
产品名称: BT-100通用粉体松装密度测试仪
产品类型: 粉体特性测试仪
产品型号: 百特BT-100
发布时间: 2023-04-06
- 其他产品





沪公网安备31011402010444