推荐资讯
Latest Information- 湿法激光粒度仪和干法激光粒度仪的区别 04-11
- 干法激光粒度仪的结构和原理 04-11
- Zeta电位及Zeta电位分析仪 04-10
- 激光粒度仪在锂电池正极材料粒度检测中的应用 04-10
- 提升锂电池能量密度的方法研究 04-10
- 激光粒度分析仪用于脂肪乳注射液粒度的研究 04-10
- 水泥密度测试方法研究 04-10
联系我们
Contact Us电话 : 15021562539
QQ : 619163093
邮箱 : sales@dwshanghai.com
网址 : //www.crmbz.com
地址 : 上海嘉定区华江路348号B座226室
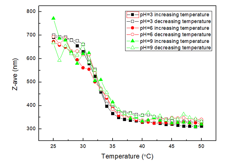
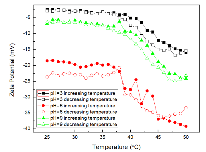
PNIPAm微凝胶的粒径和Zeta电位测试
- 编辑:
百特BETTERSIZE
时间: 2023-04-10 23:38 浏览量: 81
相关新闻
- 深入解析粒径分布:概念、测量方法与应用 11-26
- 多粒径组分体系分析:沉降法粒度检测技术研究 11-19
- 基于尺寸区分的粒子分类体系与技术应用 10-01
- 粒子概念的多尺度解析:从宏观至微观的物质基本单元 09-28
- 激光粒度仪检定规程及操作规范 08-06
- 激光粒度仪:颗粒世界的精密量尺 07-30
- 炭素品质精准把控的利器:百特在线粒度监测系统 07-25
- 激光粒度仪测粒径原理:光散射技术与颗粒表征的核心解析 07-16
- 基于LEDLS技术的二氧化硅抛光液浓度与粒径精准表征 07-09
- 基于透射光路法的液体折射率高精度检测 07-02




沪公网安备31011402010444